Version 2.7c
This page contains information about version 2.7c of Feedback Systems by Karl J. Åström and Richard M. Murray. For the latest release of the book, see the Main Page.
Version 2.7c is a complete copy of the book that is being used for CDS 101/110 at Caltech. For Caltech students, this version will be available in the Caltech bookstore as a paperback book for ~$35. The only difference between the paperback version and the online version is that citations in the online version are alphanumeric. Since this book will be used for a course, this page was created to collect any errata associated with the printed version.
Additinal info:
- Revision date: 20 September 2007
- Complete book (pdf, 20Sep07) - this a PDF of the entire book, as a single PDF file (400 pages, 7 MB).
Errata
The errata listed below are referenced according to their location in the printed copy of this text (available in the Caltech bookstore). Line and page numbers for the PDF version posted here may vary slightly. Small errors (typos, grammar fixes) are generally not listed.
Conventions: each line of text and each line of a displayed equation are counted as a line. Negative line numbers mean number of lines from the bottom of the page. First line on page = 1, last line on page = -1. Entries in boldface indicate errors which might change the interpretation of the text.
Chapter 2 - System Modeling
Page 35, line 4: The second row of the first term on the right side of the equation is incorrect. It should be
instead of
(G. Wagner, 10 Oct 08)Page 49, line 16:
should be
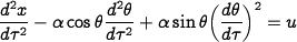
(M. Miller and C. Winiarz, Oct 07).Page 50, line 2 (below caption): The equation on the left should read
(J. Pinto, Oct 07).
Chapter 5 - Linear Systems
Chapter 9 - Frequency Domain Analysis
(P. Wagh, Oct 07)


